Plant Root Simulator (PRS®) Probes have been used for the measurement of soil nutrient supply rate in a wide range of ecosystem types since 1996. A summary of results is provided for the following ecosystems (see notes below):
|
Ecosystem |
Climate |
n ('000s) |
Burial weeks Median (25-75%ile) |
|
|
Nitrogen |
Other |
|||
|
Agriculture |
Temperate & Tropical |
40 |
32 |
2 (2 to 3) |
|
Grassland |
Temperate & Alpine |
26 |
14 |
6 (4 to 11) |
|
Arid |
Temperate & Tropical |
12 |
8 |
12 (9 to 16) |
|
Forest |
Tropical |
3 |
3 |
3 (2 to 4) |
|
Forest |
Temperate |
29 |
23 |
8 (4 to 12) |
|
Forest |
Boreal |
9 |
8 |
9 (6 to 18) |
|
Tundra |
Polar |
9 |
6 |
8 (5 to 10) |
|
Wetland |
Boreal & Temperate |
6 |
6 |
4 (3 to 4) |
|
Urban |
Temperate & Tropical |
2 |
2 |
4 (2 to 6) |
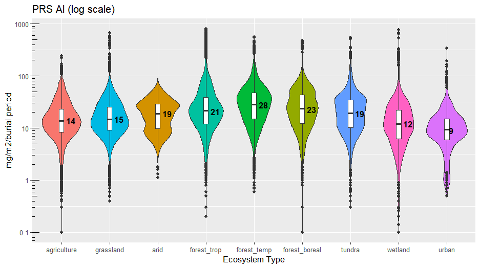
Distribution of all in situ PRS® data with a burial duration of one week or more. Boxes represent the 25- to 75%ile range and numerical values are median values. Units are mg/m2 of membrane/burial period (equivalent to ug/10 cm2 of membrane/burial period). The y-axes for all elements except Ca and Mg are on a log scale.














Notes
